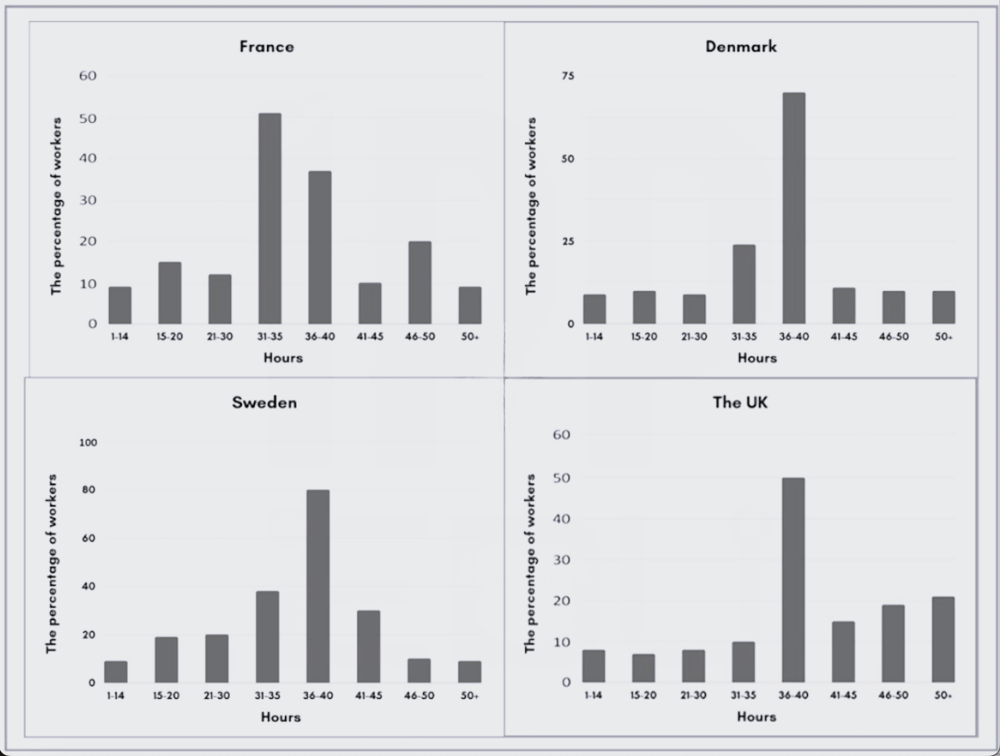
The charts below show the number of working hours per week, in the industrial sector, in four European countries in 2002.

The chart provides insight into the number of hours that industrial laborers from four countries in Europe spent working in a week in 2002.
Overall, it is immediately noticeable that with the exception of France, most workers in the countries researched preferred to work from 36 to 40 hours in a week. British workers seemed to be more hard working than their counterparts in other places, as they were more willing to work more than 40 hours a week.
Compared to other working practices, working for less than 31 hours a week was the least popular. People who worked 1 -14 hours accounted for less than 10% of the industrial workforce in every single country in the charts. Meanwhile, the proportion of workers who committed to a 15-20 hour workweek was also 10% in Denmark and the UK, but they made up roughly 15% and 20% in France and Sweden, respectively. In addition, Swedish industrial laborers spending 21-30 hours per week contributed a larger proportion of the national industry in comparison to those in other countries, with the former at 20% and the latter at around 10%.
France is the only country where half of the industrial workforce worked 31 to 35 hours every week, while the majority of workers in other countries preferred to work 36-40 hours.To be specific, 70% of workers in Denmark spent 36 to 40 hours per week working, while the data for the the the the the UK was approximately 50%. The highest figure in this category, however, belonged to Sweden, at approximately 80%
Working more than 40 hours per week was definitely not the norm in 2002. In Denmark, this working arrangement was just as uncommon as spending less than 31 hours at work, evidenced by the comparable data. In other cases, it was definitely more prevalent. People who worked 46-50 hours in France or more than 50 hours in the the UK accounted for 20%. In Sweden, employees who put in 41-45 hours was the third most numerous group in the country’s industrial work force, contributing roughly 25%.
Từ vựng IELTS hữu ích
